ПРИМЕНЕНИЕ
Вентиляторы канальные прямоугольные (ВКП) применяются в системах приточно-вытяжной вентиляции промышленных и общественных зданий. Они компактны и легко монтируются в любом положении. Подсоединяются с помощью гибких соединений с фланцами на шинорейке.
КОНСТРУКЦИЯ
- Компактная конструкция
- Лопатки, загнутые вперед
- Корпус из оцинкованной стали
- Установка в любом положении
- Однофазные и трехфазные асинхронные электродвигатели с внешним ротором
- Биметаллическая защита двигателя
- Возможность регулировки скорости
- Класс защиты электродвигателя IP 44
КОНСТРУКТИВНОЕ ИСПОЛНЕНИЕ
Вентиляторы ВКП изготавливаются по ТУ 4861-019-15185548-04
УСЛОВИЯ ЭКСПЛУАТАЦИИ
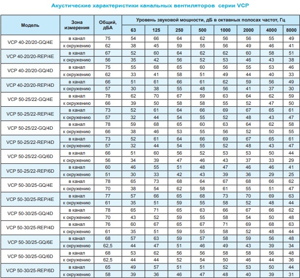
Вентиляторы канальные ВКП предназначены для перемещения невзрывоопасных газовых сред с температурой не менее -20°С и не более максимальной температуры индивидуальной для каждого типоразмера (см. технических характеристики), содержащих твердые примеси не более 100 мг/м3, не содержащих липких веществ и волокнистых материалов, в условиях умеренного климата 2-ой категории размещения по ГОСТ 15150-69 с температурой окружающей среды до плюс 40°С (защищенных от воздействия атмосферных осадков).
ГАРАНТИЯ – 36 МЕСЯЦЕВ











